14527: Difference between revisions
Larisa.Chiș (talk | contribs) :)) |
Larisa.Chiș (talk | contribs) m :)) |
||
| Line 40: | Line 40: | ||
divide cu 2013². | divide cu 2013². | ||
'''Soluție''' | |||
Observăm că fiecare termen din sumă poate fi scris astfel: | Observăm că fiecare termen din sumă poate fi scris astfel: | ||
Revision as of 06:46, 30 December 2024
14527 (Cristina Vijdeluc şi Mihai Vijdeluc, Baia Mare)
Pentru orice număr natural nenul N , notăm n! = 1 · 2 · 3 · · · n și 0! = 1.
a) Arătați că (n + 1) · (n + 1)! − n · n! = (n² + n + 1) · n!
Soluție
Începem cu partea stângă a ecuației:
(n + 1) · (n + 1)! − n · n! Folosind definiția factorialului, avem:
Astfel, putem scrie:
(n + 1)! = (n + 1) · n!
(n + 1) · (n + 1)! = (n + 1) · (n + 1) · n! = (n + 1)2 · n!
Deci, partea stângă devine:
(n + 1)2 · n! − n · n!
Factorizăm n!:
= n!((n + 1)² − n)
Calculăm (n + 1)² − n:
(n + 1)² − n = n² + 2n + 1 − n = n² + n + 1
Astfel, partea stângă devine:
n! · (n² + n + 1)
Deci, am demonstrat că:
(n + 1) · (n + 1)! − n · n! = (n² + n + 1) · n!
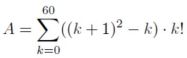
b) Dacă A = (60² + 60 + 1) · 60! + (59² + 59 + 1) · 59! +. . . + (1² + 1 + 1) · 1! + (0² + 0 + 1) · 0!, atunci A se
divide cu 2013².
Soluție
Observăm că fiecare termen din sumă poate fi scris astfel:
k² + k + 1 = (k + 1)² − k
Astfel, putem rescrie A:

Calculăm fiecare sumă în parte. Prima sumă devine:

Observăm că termenii se simplifică, iar suma finală devine:
Folosind identitatea k2 · (k − 1)! = k! · k + k!:

A doua sumă este:

Astfel, putem scrie:

Observăm că termenii se simplifică, iar suma finală devine:
A = 61! + 60! + 1
Acum, să verificăm dacă A se divide cu 2013². Observăm că:
Astfel, putem scrie:
2013 = 3 · 11 · 61
2013² = (3 · 11 · 61)² = ²2 · 11² · 61²
Acum, să verificăm dacă A = 61! + 60! + 1 se divide cu 2013².
- **Divizibilitatea cu 32**: - Atât 61! cât și 60! cont, in factori de 3, deci 61! + 60! este divizibil cu 3. - De asemenea, 1 nu este divizibil cu 3, dar suma 61! + 60! este mult mai mare decât 1 și va conține suficienți factori de 3 pentru a asigura divizibilitatea cu 3².
- **Divizibilitatea cu 11²**: - Similar, atât 61! cât și 60! conțin factori de 11, deci 61! + 60! este divizibil cu 11. - Din nou, 1 nu afectează divizibilitatea generală, iar suma va conține suficienți factori de 11 pentru a asigura divizibilitatea cu 11².
- **Divizibilitatea cu 61²**: - Atât 61! cât și 60! conțin factori de 61, deci 61! + 60! este divizibil cu 61. - La fel ca și în cazurile anterioare, 1 nu afectează divizibilitatea generală, iar suma va conține suficienți factori de 61 pentru a asigura divizibilitatea cu 61².
Prin urmare, am demonstrat că A se divide cu 2013².